Trigonometría
La trigonometría es la rama de las matemáticas que estudia las relaciones entre los ángulos y los lados de los triángulos.
Funciones trigonométricas
Las funciones trigonométricas son funciones matemáticas que relacionan los ángulos de un triángulo rectángulo con las longitudes de sus lados. Estas funciones son fundamentales en la geometría, la física y otras disciplinas que estudian el movimiento y las ondas.
Ejemplo:
En un triángulo rectángulo, la función seno de un ángulo θ se define como:

Si el ángulo θ es de 30 grados, entonces:

¿Cómo funciona?
Definiciones: Existen seis funciones trigonométricas principales que relacionan los lados de un triángulo rectángulo:
Círculo unitario: Las funciones trigonométricas también se definen usando el círculo unitario, donde cualquier ángulo se puede representar en un círculo de radio 1. Las coordenadas de un punto en el círculo son (cos(θ), sin(θ)), y la tangente es la relación entre estas dos coordenadas.
Período y amplitud: Las funciones trigonométricas son periódicas, es decir, sus valores se repiten en intervalos regulares, y tienen una amplitud que define la magnitud máxima de la función.
Tipos de figuras:
Las funciones trigonométricas se utilizan en física para modelar ondas y vibraciones, en ingeniería para analizar estructuras y movimientos, y en astronomía para estudiar posiciones y distancias entre cuerpos celestes.

Las funciones trigonométricas son esenciales para entender las relaciones entre ángulos y lados en geometría, y tienen aplicaciones clave en la ciencia y la ingeniería, particularmente en el análisis de ondas, movimientos y estructuras cíclicas. Su periodicidad y amplitud las hacen herramientas poderosas en la resolución de problemas relacionados con el comportamiento ondulatorio y angular.
Àngulos
Los ángulos son una medida de la rotación o la inclinación entre dos líneas o segmentos que se encuentran en un punto, llamado vértice. Se expresan generalmente en grados o radianes y son fundamentales en geometría, trigonometría y muchas áreas de las matemáticas.
Ejemplo:
Un ángulo recto mide exactamente 90 grados (90°) y se forma cuando dos líneas son perpendiculares entre sí. Los ángulos más comunes incluyen:
Recto
Agudo
Obtuso
¿Cómo funcionan?
Medida: Los ángulos se miden en grados (°) o radianes (medida en función de la circunferencia de un círculo). Un círculo completo tiene 360° o 2π radianes.
Tipos de ángulos:
Suma de ángulos: En un triángulo, la suma de los ángulos internos siempre es 180 grados, mientras que en un cuadrado o rectángulo es 360 grados. Esta propiedad se utiliza para resolver problemas geométricos.
Tipos de ángulos:
El concepto de ángulos es esencial en la arquitectura para diseñar estructuras, en la ingeniería para analizar fuerzas, y en navegación para calcular trayectorias.
Los ángulos son un concepto básico en geometría que describe la inclinación entre dos líneas o segmentos. Comprender los diferentes tipos de ángulos y sus propiedades es esencial para resolver problemas geométricos y aplicar estos principios en la vida cotidiana, como en la arquitectura, la navegación y el diseño.
Teoremas
Los teoremas en trigonometría son herramientas matemáticas fundamentales que establecen relaciones entre ángulos y lados en triángulos. Estos teoremas se utilizan en una variedad de campos, como la física, la ingeniería, la arquitectura y la astronomía, para resolver problemas relacionados con distancias, alturas y direcciones.
Ejemplo:
El Teorema del Seno es uno de los teoremas más conocidos en trigonometría. Establece que en cualquier triángulo (no necesariamente rectángulo), la razón entre la longitud de un lado y el seno del ángulo opuesto es la misma para los tres lados. Se expresa así:

donde a, b y c son los lados del triángulo, y A, B, C son los ángulos opuestos a esos lados.
¿Cómo funciona?

Este teorema es útil para calcular un lado de un triángulo cuando se conocen los otros dos lados y el ángulo entre ellos.
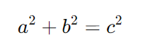
Teorema de Pitágoras: Aunque es principalmente geométrico, este teorema es esencial en trigonometría para trabajar con triángulos rectángulos. Dice que en un triángulo rectángulo:

donde c es la hipotenusa (el lado más largo) y a y b son los catetos.
Tipos de teoremas:
Los teoremas trigonométricos se utilizan en navegación para calcular distancias y rutas, en ingeniería para analizar estructuras y fuerzas, y en astronomía para medir distancias entre estrellas y planetas.
Los teoremas en trigonometría proporcionan herramientas poderosas para relacionar ángulos y lados en triángulos. Son fundamentales para resolver problemas geométricos y tienen aplicaciones en campos como la ingeniería, la astronomía y la física. Los teoremas del Seno y del Coseno, junto con el Teorema de Pitágoras, son esenciales para comprender y aplicar la trigonometría en la vida real.
La trigonometría es una rama de las matemáticas que estudia las relaciones entre los ángulos y los lados de los triángulos, utilizando funciones como el seno, coseno y tangente.
